近期,yl23411永利集团官网江苏省多能融合与灵活性发电技术重点实验室副主任宋国辉以第一作者、通讯作者,南京工程学院为第一署名单位,在国际期刊《Energy Nexus》发表题为“Techno-economic and life cycle greenhouse gas assessment of green ammonia produced by low-pressure Haber-Bosch process”的学术论文。《Energy Nexus》是WOS一区,中科院二区期刊,首个影响因子为8.1。

本实验室依托我校,与江苏方天电力技术有限公司共建,面向国家和江苏省能源绿色转型的重大需求,围绕火电减污降碳,推动火电、新能源和储能有机融合等方向的研究和成果转化,重点聚焦低碳燃料与碳捕集、灵活性发电技术和多能融合利用技术,为学校实施一流科技创新工程和高质量发展提供有力支撑。
在推进“碳达峰碳中和”战略、能源供给安全保障要求等背景下,我国新能源迅猛发展,取得了举世瞩目的成就。然而,光伏和风电的不稳定特性和高比例引发新型储能的巨大需求。虽然抽水蓄能、压缩空气储能、电化学储能等技术已经商业化,基本覆盖短时到长时的储能需求,但超长时储能技术依然有待开发。国家八部委联合发布的《新型储能制造业高质量发展行动方案》要求“适度超前布局氢储能等超长时储能技术”。这是国家部门首次提出该说法。相比绿氢储能,绿氨储能兼具地理条件无限制,储能载体易获取,储能密度大,液态存储和输运、成本低等优点,是一种极具潜力的超长时储能载体,特别适用于远海风电、偏远内陆或山区绿电的消纳。绿氨将对化工、农业和能源领域的减碳起到积极重大的作用。
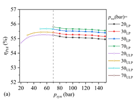
本文基于近期低压哈伯法催化剂的研究进展,融合氨/CO2制冷、先进压缩机、PSA分离等先进技术,研究了绿电驱动的低压哈伯法和超低压哈伯法合成氨的能量-碳排放-经济性表现。重点分析了电解水制氢的方法、能耗、压力,合成氨运行压力,电价,设备成本,工厂规模,年等效运行小时数等参数对能量效率、单位能耗、均化成本及其构成、生命周期碳排放和氨排放及其构成等指标的影响规律。结果表明,计入液氨冷能后,绿电到液氨的系统能效高达73.75%,相应的单位能耗仅为7.64 kWh/kg,展示出较高的能量转换效率。为了保障经济竞争力,合成氨工厂规模不宜小于10 t/h。基于当前常见的储能电价(约0.28 ¥/kWh),年等效运行小时数需要超过5000 h才能实现盈利。因此,在商业模式方面,建议哈伯法绿氨工厂的建设和运营,兼顾化工生产和绿电储能两种功能,从而提高年等效利用小时数,实现经济盈利。仅用于储能的绿氨工厂很难有经济竞争力,不是优选的发展模式。基于中国风电的生命周期碳排放和氨排放强度仅为257–316 kgCO2e/t和0.06 kgNH3/t,相比天然气和煤制氨,碳减排幅度分别高达82%和91%,显示出巨大的低碳清洁优势。绿氨的减碳效益显著,但经济竞争力不强,未来需要引入碳减排收益或者其他政策补贴。
本论文是yl23411永利集团官网与北京大学工学院合作的科研成果,得到了南京工程学院引进人才科研启动基金、国家重点研发计划、中石化-北京大学战略合作基础研究计划等基金的资助。论文还得到了中国轻工业武汉设计工程有限责任公司的支持。
两种合成路线的系统流程图如下:

部分关键结果如下:






论文链接:https://doi.org/10.1016/j.nexus.2025.100379